Grignard Reagents

Chemical Synthesis

Grignard Reagents

Grignard reagents are highly reactive organomagnesium halides formed by the reaction of magnesium metal with alkyl or alkenyl halides. They are very strong bases and react with acidic hydrogens such as alcohols, water and carboxylic acids. Our comprehensive portfolio of Grignard reagents, used in the Grignard reaction to form new carbon-carbon bonds, will make your breakthroughs feel closer than ever.

WHAT IS A GRIGNARD REAGENT?

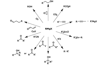
A Grignard reagent is an organomagnesium halide having a formula of RMgX, where X is a halogen (-Cl, -Br, or -I), and R is an alkyl or aryl (based on a benzene ring) group. To initiate a Grignard Reaction, a Grignard reagent is added to a ketone or aldehyde, to form a tertiary or secondary alcohol. The reaction with formaldehyde leads to a primary alcohol.

Grignard reagents can be used for determining the number of halogen atoms present in a halogen compound. Grignard degradation is used for the chemical analysis of certain triacylglycerols as well as many cross-coupling reactions for the formation of several carbon-carbon and carbon-heteroatom bonds. Industrially, the Grignard reaction is the key step in the production of Tamoxifen, which is used in the treatment of breast cancer.

MAKING A GRIGNARD REAGENT

Grignard reagents are produced from the heated combination of halogenoalkane and magnesium in the presence of diethyl ether (ethoxyethane). The reaction should be kept dry to avoid the resulting Grignard reagent from reacting with water.