Organocatalysts

Catalysts

Organocatalysts

Organocatalysts, small molecules composed of carbon, hydrogen, oxygen, nitrogen, sulphur, or phosphine that activate a chemical reaction, have become an indispensable component in the green chemistry toolbox. While all catalysts are sustainable in general, organic catalysts go beyond the 12 principles of green chemistry. Organocatalysts can reduce the number of synthetic steps required to determine a target compound since they react with various functional groups under mild conditions that are not air- or water-sensitive, which saves energy and reduces costs. As nonmetal catalysts, these products are not harmful to the environment, are naturally nontoxic and do not produce metallic waste.

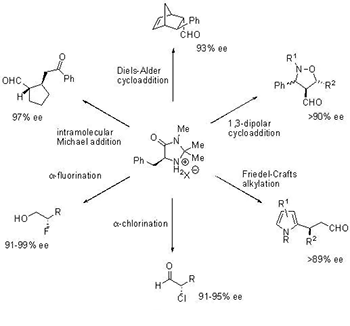
Due to their efficiency, stability, purity, and selectivity, organocatalytsts are used widely for small molecule drug discovery and in designing complex molecular structures. Some common organocatalytic reactions that uses organocatalysts are Diels-Alders, Michael, or Mannich asymmetric reactions, Shi epoxidation, 1,3-dipolar cycloadditions, Friedel-Crafts alkylations, α-chlorinations, α-fluorinations, and transfer hydrogenations. Initiation in these reactions happen through the organocatalyst either providing or removing electrons or protons from the substrate. Therefore, organocatalysts are generally classified as either Lewis bases, Lewis acids, Brønsted bases, and Brønsted acids.

Explore our portfolio of organocatalysts designed to spark your environmentally-friendly organocatalytic reactions and green chemistry explorations.